几内亚海运费中的油价联动机制与BAF精细解析【SMM分析】
SMM 3月25日讯:
在国际海运,尤其是西非铝矾土运输中,海运费并非一成不变,而是与船用燃油价格高度挂钩。几内亚作为全球重要的铝矾土出口国,其运费定价机制尤为典型。在实际业务中,运费调整主要依托燃油附加费(BAF,Bunker Adjustment Factor)与 基础运费 的组合,形成一套与油价联动的动态定价体系。
一、油价联动的基本逻辑
运费调整的核心依据是新加坡合规燃油指数(VLSFO,0.5%低硫燃油)的普氏石油报价,具体采用船用燃油线的中间交付价格。这一价格反映了新加坡港口的实际燃油现货水平,是国际航运业普遍接受的基准。
在实际操作中,运费的调整并非实时跟随油价波动,而是基于合同约定的基准指数与观察窗口进行周期性修正。通常,合同会设定一个基础油价指数(常见为450、480或500),并约定指数每上涨或下跌一定单位(如100美元),运费对应调整固定金额(如2美元/吨)。
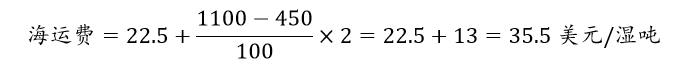
示例计算:
假设:
- 基础油价指数为450,对应基础运费为22.5美元/吨;
- 当前油价指数为1100;
- BAF,Bunker Adjustment Factor:每100点变化,运费调整2美元/吨。
则:


这种“阶梯式”调整机制,使得运费能够平滑反映燃油成本变化,同时避免因油价短期剧烈波动带来的频繁调价。
二、BAF系数的精细计算与船型因素
在几内亚铝矾土运输中,燃油附加费(BAF)的计算更为精细化,尤其体现在好望角型(Capesize)船舶的运营模型中。BAF的本质是将燃油成本变动按比例分摊至每吨货物。
计算逻辑:
以西非铝矾土航线为例,一艘好望角型船单航次:
-总耗油量约为3500吨;
-载货量约为17.5万吨;
-则单位货物燃油成本变化系数为:

即油价每变动1美元/吨,每吨货物的燃油成本变动约0.02美元。
因此,BAF的一般范围为0.017–0.02美元/吨·每美元油价变化,具体系数取决于不同船东与货主签订的COA(包运合同) 中约定的步长与联动比例。部分矿山还会在合同中设置精细比例阶梯,在不同油价区间执行不同的联动系数。
三、基准指数与风险控制
在实际业务中,各公司对燃油指数的选取和调整方式更为精细。合同通常不会简单采用单一时间点的油价,而是设定:
-计价窗口:燃油价格依据提单日期前【14个日历日】的平均价格计算;
-节假日处理:如遇周末或节假日,燃油线价格按最后一个工作日发布价格计算;
-封顶线:为控制风险,合同中常设置油价调整的上限(Cap),防止燃油价格极端上涨导致运费失控。
这种设计使得运费调整更加平滑、可预期,同时兼顾了市场波动与交易双方的财务稳定性。
四、运费调整的时间顺序与滞后性
在实际执行中,运费调整与油价变动之间存在明确的时间差,主要体现在以下三个层面:
1. 计价窗口滞后:矿山普遍采用提单前14天的平均油价,运费的调整天然滞后于市场油价的变化约7–14天,避免了单日极端价格对运费的影响。
2. 调价执行时点:在COA框架下,运费调整通常按月度或季度进行,而非每次航次都变动。调价所依据的油价窗口往往在调价生效前即已锁定。
3.BAF与基础运费的同步性:BAF与基础运费中的油价联动部分在计算逻辑上是同步的,但在合同执行中,二者可能合并为一项“综合燃油调整费”,统一按约定周期执行。
这种“先有油价窗口,后有运费调整”的顺序,确保了运费的可计算性和合同执行的稳定性,避免了因油价瞬时波动导致的频繁争议。
(以上信息基于市场采集及上海有色网研究小组综合评估后得出,文中所提供的信息仅供参考。本文并不构成投资研究决策的直接建议,客户应当谨慎决策,勿以此代替自主独立判断,客户所作出的任何决策与上海有色网无关。)
数据来源:SMM 点击SMM行业数据库了解更多信息
(邱佳怡 021-2070 7918)
下载App

